Skip to content
爱奇士
爱奇士
  • 首页
  • 公司概况
    • 关于我们
    • 全球网络
  • 研发&合规
    • 研发制造
    • 认证和法规
  • 应用领域
    • 个人护理
      • 防晒
        • 防晒乳
        • 防晒配方
        • 海洋友好配方
        • 儿童适用配方
        • 唇膏配方
      • 功效护肤
        • 功效配方
    • 家庭护理
      • 液体香薰(清新剂)
      • 固体香薰(蜡烛)
      • 洗护(洗衣液)
    • 彩妆
      • 香水
      • 口红
      • 粉底
      • 隔离
      • 指甲油
  • 产品分类
    • 抗氧剂
    • 紫外线稳定剂
    • 防晒剂
    • 防晒增效剂
    • 活性物
    • 乳化剂
    • 流变调节剂
  • 新闻资讯
  • 联系我们
首页产品分类紫外线稳定剂Aegivita UV-TC

Aegivita UV-TC

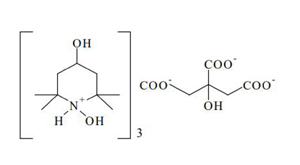
1. 商品名:Aegivita UV-TC

2. 英文INCI名:TRIS(TETRAMETHYLHYDOXYPIPERIDINOL) CITRATE,WATER,ETHAND

3. 中文标准名:三(四甲基羟基哌啶醇)柠檬酸盐,水,乙醇

4. 介绍:AEGIVITA UV-TC是一种水溶性自由基猝灭剂,帮助稳定敏感的颜色、香料及活性物。

分类: 紫外线稳定剂

相关产品

  • Aegivita UV-OTZ

    阅读更多
  • Aegivita UV-TL

    阅读更多
  • Aegivita UV-BZ

    阅读更多
  • Aegivita UV-TG

    阅读更多

天津爱奇士科技有限公司

Contact E-mail:market@aegiscosmetics.com

Tel:022-82789711

© 2026 爱奇士 | 版权所有:津ICP备2023010382号